Nei precedenti articoli abbiamo accennato all’evoluzione delle stelle, alla loro nascita, alla loro fine spesso catastrofica. A questo punto viene spontanea una domanda: ma quanto distano le stelle dalla Terra? E quanto distano il Sole e la Luna? Cominciamo andando indietro nel tempo.
Le stelle secondo gli antichi astronomi
Nel IV secolo a.C. Eudosso di Cnido (408 a.C.-355 a.C.) concepì un universo formato da una serie di sfere aventi un unico centro di rotazione (dette quindi omocentriche), nel quale era posta la Terra; le sfere ruotavano di moto uniforme e su ogni sfera vi era incastonato un corpo celeste. Per spiegare il moto dei pianeti, del Sole e della Luna Eudosso ricorse a serie di 3-4 sfere con assi di rotazione aventi direzioni diverse, per un totale di ben 27 sfere. Nelle sfere vi erano collocati, a partire dalla Terra, la Luna, Mercurio, Venere, il Sole, Marte, Giove, Saturno, ed infine le stelle fisse, incastonate nella sfera più esterna e quindi poste tutte alla medesima distanza dalla Terra. Noi oggi sappiamo che non è così.

Aristotele (384 a.C. – 322 a.C.) attribuì realtà fisica alle sfere di Eudosso, aggiungendone altre per spiegare meglio le traiettorie dei pianeti: in tutto ipotizzò ben 55 sfere, composte da un elemento, l’etere, privo di massa, invisibile, eterno ed inalterabile.
Nel III secolo a.C. Aristarco di Samo (310 a.C. – 230 a.C.), riprendendo la visione dell’universo di Eraclide Pontico, pose il Sole al centro dell’universo e propose il moto rotatorio della Terra su di un asse inclinato, spiegando così le stagioni. Ma la sua teoria non ebbe fortuna e fu respinta sia da Platone, che da Aristotele e Tolomeo. Sarà infine ripresa da Copernico, ma bisognerà aspettare ben 1800 anni!
Ancor prima di Aristarco Eratostene di Cirene (275 a.C.– 195 a.C.) aveva misurato il raggio della Terra, stimandolo di circa 6300 Km (252.000 stadi).
Aristarco misura il rapporto fra le distanze del Sole e della Luna
Aristarco fu il primo a calcolare il rapporto fra le distanze del Sole e della Luna dalla Terra. Egli cercò di misurare l’angolo tra Luna e Sole nell’istante esatto in cui la Luna si trovava in quadratura con il Sole, cioè quando le semirette congiungenti la Terra con la Luna e la Luna con il Sole formano un angolo di 90°.

L’osservazione va fatta quando la Luna è al primo quarto, poco prima del tramonto del Sole, mentre entrambi gli astri sono ben visibili. Nella figura, L è il centro della Luna, T il centro della Terra ed S il centro del Sole. Aristarco stimò che l’ampiezza dell’angolo STL fosse di 87°, da cui dedusse che il Sole era da 18 a 20 volte più lontano della Luna. Infatti, con l’uso della trigonometria, è facile calcolare il rapporto TS/TL, che vale 1/cos(87°) = 19,1.
Il suo calcolo, purtroppo è risultato errato perché la strumentazione di cui poteva disporre era grossolanamente imprecisa: l’angolo STL misura infatti 89° 51’ (89,85°), valore impossibile da stimare per l’epoca. La distanza del Sole è infatti circa 380 volte quella della Luna (1/cos (89,85°)).
Aristarco misura la distanza Terra-Luna
Ma Aristarco non si limitò a ideare questo ingegnoso metodo di calcolo. Egli osservò che il Sole, durante le eclissi totali, veniva coperto per intero dalla Luna: quindi ne dedusse che il Sole e la Luna sono visti dalla Terra sotto il medesimo angolo e che i loro diametri apparenti sono uguali. Allora, anche il diametro del Sole doveva essere da 18 a 20 volte quello della Luna.
Scrive G.V. Schiaparelli in Scritti sulla storia della astronomia antica: “Osservando poi il tempo, che nelle eclissi lunari impiega il nostro satellite a traversare l’ombra della Terra, Aristarco concluse che la larghezza di quest’ombra in quella regione dove passa la Luna, sia doppia del diametro lunare”.
Partendo da queste constatazioni Aristarco, nel suo breve trattato Sulle dimensioni e distanze del Sole e della Luna, pervenutoci da fonti greche e arabe, descrive un metodo geometricamente rigoroso per dedurre la distanza lunare in funzione del raggio terrestre.

Per i più curiosi e per chi vuol provare a ripetere il calcolo, vediamo come Aristarco ha operato.
| dL, dS | distanza Terra-Luna e Terra-Sole |
| RT, RL, RS | raggio della Terra, della Luna e del Sole |
| R | raggio del cono d’ombra terrestre (per Aristarco pari a 2RL) |
| k=R/RL | rapporto tra il raggio del cono d’ombra e della Luna (2 per Aristarco) |
| αL, αS | dimensione angolare apparente della Luna e del Sole |
| β | dimensione angolare del semicono d’ombra (per Aristarco β= αL) |
| n | è il rapporto fra le distanze del Sole e della Luna (18-20 per Aristarco) |
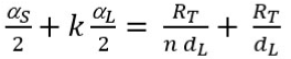
Dalla figura, ponendo α= αS/2, si ha: α+β=PS+PL (sono supplementari dello stesso angolo).
Poiché α, β, PS e PL sono angoli molto piccoli, esprimendo gli angoli in radianti, possiamo scrivere: PS=RT/dS, PL=RT/dL e quindi: α+β = RT/dS + RT/dL
Ma siccome β=k αL/2 e dS=n dL, si può anche scrivere:

Da questa relazione si ricava facilmente la distanza della Luna:

Aristarco stimò αL=αS=2° (0,0349 rad), k=2, n=19. Con questi valori si ricava che la distanza della Luna vale 20 volte il raggio terrestre (il valore corretto è circa 60 volte).
Il valore αL=2° è stranamente errato, perché nell’Arenario Archimede afferma che “Aristarco scoprì che il diametro del Sole appariva essere 1/720 del circolo dello zodiaco”, cioè mezzo grado.
Può darsi che Aristarco abbia eseguito la misura del diametro solare dopola scrittura della dimostrazione, oppure che fosse più interessato al metodo di calcolo che al risultato.
Ipparco affina il metodo di Aristarco
Ipparco di Nicea (190 a.C.-120 a.C.) fu, insieme a Tolomeo, il più grande astronomo dell’antichità. Grande osservatore, compilò un catalogo con 850 stelle, suddividendole in base alla luminosità in una scala di sei grandezze che oggi conosciamo come magnitudini stellari.
Ipparco riprese il metodo di Aristarco per la misura della distanza Terra-Luna e lo migliorò, grazie soprattutto alle sue precise osservazioni. Utilizzando la stessa figura, possiamo scrivere:
PL = α+β – PS e siccome PL=RT/dL si può scrivere

dalla quale si ricava:

Ipparco stimò αL=αS =0,554° (0,00967 rad), k=2,5; per PS, che è un angolo molto piccolo, non misurabile con gli strumenti a sua disposizione, Ipparco stimò un valore inferiore a 7’, ottenendo una distanza di 59 RT nel caso di PS=0, di 67 RT nel caso di PS=7’ (0,117° – 0,002036 rad). Questa volta ci siamo.
Nei prossimi articoli esamineremo alcuni dei metodi più recenti per ottenere le distanze degli astri.