Nell’articolo precedente vi ho lasciato con la domanda: dato il diagramma dell’accelerazione, come posso ricostruire il diagramma della velocità e dello spazio percorso?
Notate bene che noi conosciamo già il risultato: sono i nostri diagrammi di partenza! Però, dobbiamo ricostruirli; come fare?

Partiamo dal diagramma della accelerazione: si tratta di ricostruire anzitutto il diagramma della velocità. Come ragioniamo? Come ragionò Newton?
Noi, che ormai sappiamo tutto delle derivate, capiamo che qui si tratta di fare una operazione opposta: quale? Come?
Guardiamo il diagramma: è diviso in tre parti. Nella prima, da 0 a P1, abbiamo accelerato a 0,5 m/s2per 60 s; nella seconda, da P1 a P2, l’accelerazione è stata nulla; nella terza, da P2 a F, l’accelerazione è stata – 1 m/s2. A questo punto, l’unica cosa certa è che tra P1 e P2 la velocità non è cambiata, perché l’accelerazione è zero: questo significa che l’auto ha raggiunto una certa velocità in P1 e ha continuato con quella velocità sino a P2. OK, ma quale velocità ha raggiunto? Usiamo il nostro laboratorio mentale: ragioniamo. A questo scopo, consideriamo solo il tratto tra 0 e P1.

Noi abbiamo definito l’accelerazione media come il rapporto tra la velocità raggiunta ed il tempo necessario per raggiungerla:
am= v / t
Ma allora, è anche vero che:
v = am∙t
Poiché la nostra accelerazione è costante, e pari a 0,5 m/s2, questo significa che la formula qui sopra ci consente di calcolare la velocità v, che cambia di continuo al variare di t. Per sottolineare questa variazione continua, scrivo v(t) (si legge vu di t; significa che v dipende da t) invece di v:
v(t) = am∙t
Se guardiamo il diagramma, questo prodotto è semplicemente l’area del rettangolo compreso tra 0 e t! Quindi, abbiamo, ad esempio:
v(0) = 0,5 ∙ 0 = 0 ; v(1) = 0,5 ∙ 1 = 0,5 m/s ; v(10) = 0,5 ∙ 10 = 5 m/s ; v(30) = 0,5 ∙ 30 = 15 m/s ; v(60) = 0,5 ∙ 60 = 30 m/s.
Quindi, alla fine dell’accelerazione, siamo arrivati a 30 m/s: corrisponde a quanto sapevamo! Continuando sul nostro diagramma, nel tratto da P1 a P2 manteniamo la velocità di 30 m/s; e nell’ultimo tratto? Eccolo.

Attenzione: nell’ultimo tratto dobbiamo considerare che il tempo della decelerazione parte da 130 s: è quanto ho indicato in rosso. Allora: quale sarà la formula che ci consente di calcolare la velocità? Attenti: nel primo tratto siamo partiti da una velocità nulla; qui, invece, partiamo da 30 m/s! E allora? Allora, ecco la formula:
v(t) = v(130) + a ∙ (t – 130)
Dove: v(t) è la velocità dopo 130 s; v(130) (uguale a 30 m/s) è la velocità che avevamo ai 130 s; a è l’accelerazione in questo tratto (negativa: – 1 m/s2); (t – 130) è il tempo oltre i 130 s. In effetti, la formula è la stessa del tratto 0-P1(l’accelerazione iniziale), che nella forma più generale si scrive v(t) = v(0) + a ∙ t, dove, per il tratto iniziale, v(0) vale zero!
Calcoliamo alcuni valori di v:

v(130) = 30 m/s; v(131) = 30 – 1∙1= 129 m/s; v(135) = 30 – 1∙5 = 25 m/s; v(145) = 30 – 1∙15 = 15 m/s; v(160) = 30 – 1∙30 = 0 m/s. Quindi, a 160 s siamo fermi; giusto! Ecco spiegato il diagramma delle velocità!
Infine, calcoliamo lo spazio percorso. Allora, abbiamo detto che la velocità media è
vm= s / t. Anche per lo spazio, possiamo dire che s = vm ∙ t; però, attenzione! C’è una grossa differenza rispetto al calcolo della velocità a partire dall’accelerazione! E qual è questa differenza? Bravi: il fatto che a era costante, mentre vm cambia di continuo! Come ce la caviamo?

Cominciamo dalla fase di accelerazione: la velocità aumenta costantemente, in proporzione al tempo. Per calcolare lo spazio percorso, armiamoci di pazienza. Supponiamo di dividere il tempo in intervalli di 5 s.
Per ognuno degli intervalli calcoliamo la velocità media e disegniamo un trattino orizzontale che ne rappresenta il valore.
Invece di una linea continua abbiamo una scalinata, formata da una serie di rettangolini accostati, che hanno per base l’intervallo di 5s e per altezza la velocità media dell’intervallo.
Consideriamo il primo gradino: la sua velocità media (ripeto, del gradino), è la metà di quella raggiunta dopo 5 s; quindi: v = a ∙ t / 2= 0,5 ∙ 5 / 2 = 1,25 m/s. Durante questo tempo, quando spazio abbiamo percorso? Beh: s = vm∙ t= 1,25 ∙5 = 7,5 m.
E nel tratto tra 5 e 10 s, quanto è lo spazio percorso? Sono ancora 5 s, ma la velocità media è ora la media tra v(5) e v(10); quindi: vm= (2,5 + 5)/2 = 3,75 m/s. E lo spazio percorso? Vale 3,75 ∙ 5 = 18,75 m.
Ora appare chiaro che lo spazio, per ogni gradino, è anche l’area del rettangolino compreso fra l’asse del tempo e il valore medio della velocità! Inoltre, capite bene che, continuando con questo sistema, alla fine la somma dell’area di tutti i rettangolini è lo spazio percorso, salvo qualche errore. Quindi, lo spazio totale così calcolato è, quasi, l’area del triangolo formato dall’asse del tempo e dal grafico della velocità!
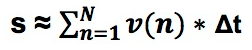
Riassumiamo: abbiamo diviso il nostro intervallo di tempo T= 60 s in N= 12 parti: chiamiamo Δt (si legge “delta ti”: il simbolo Δ è la lettera greca delta maiuscola, che ricorda la differenza tra due valori vicini) questo intervallo di tempo. Consideriamo poi il numero n del gradino: n varia da 1 a 12; la velocità media corrispondente, che possiamo calcolare, la chiamiamo v(n). Matematicamente, scriviamo:

La formula si legge: lo spazio s è quasi uguale (il simbolo ≈ ha questo significato) alla sommatoria, per tutti i valori di n compresi tra 1 e N(12), del prodotto della velocità media v(n) relativa all’elemento n, moltiplicata per Δt.
Dopo aver capito questo fatto, Newton ha fatto un’operazione analoga a quella fatta per le derivate; cioè, si è detto: ma se io aumento N all’infinito, cioè se faccio diventare piccolissimi gli intervalli di tempo Δt = T/n, cosa ottengo? Ottengo esattamente l’area del triangolo! Matematicamente, si scrive:

La seconda parte, che graficamente ricorda una esse allungata, dove s sta, appunto, per sommatoria, si legge: “integrale, per t che varia tra zero e t maiuscolo, di v di ti per de ti”.
Ripeto: passando al limite, la sommatoria diventa qualcosa di esatto: appunto, un integrale. E quale è il valore dell’integrale? Beh, siamo capaci di calcolare l’area di un triangolo!

La base del triangolo è T(60 s); la sua altezza è 30 m/s: l’area è 1/2∙60∙30 = 900 m! Guardate un poco il diagramma della prima parte dello spazio: corrisponde!
Due altre domande: e se volessimo conoscere lo spazio percorso al tempo t? Sarebbe sempre l’area del triangolo tra 0 e t; quindi:
s(t) = ½ ∙ v(t) ∙ t
Però, attenzione: v(t) dipende dalla accelerazione, e vale:
v(t) = a ∙ t
Quindi, in conclusione:
s(t) = ½ ∙ a ∙ t2
Ebbene, Newton già sapeva, da Galileo, che un corpo che cade, quindi con accelerazione costante, percorre uno spazio proporzionale al quadrato del tempo trascorso! Tombola!

Ora consideriamo il secondo tratto, quello a velocità costante: ecco il diagramma. Abbiamo appena calcolato che, dopo 60 s di accelerazione, in P1 abbiamo percorso 900 m; e poi? Dove siamo arrivati nel punto t?
Poiché dopo P1 andiamo alla velocità costante di 30 m/s: a partire da P1 lo spazio percorso è
s = v ∙ (t – 60)
Ma in P1 abbiamo già percorso 900 m; quindi, tra P1 e P2 lo spazio è:
s(t) = 900 + 30 (t – 60)
In formule, se chiamiamo s1 lo spazio percorso in P1, v1 la velocità in P1 e t1 il tempo in P1, possiamo scrivere:
s(t) = s1 + v1∙ (t – t1)
E nell’ultimo tratto? Ultimo sforzo!

Cosa succede tra P2e F? Qual è la formula del movimento? Anche nell’ultimo tratto dobbiamo considerare lo spazio precedente e, se chiamiamo s2 lo spazio percorso in P2, v2 la velocità in P2 e t2 il tempo in P2, possiamo scrivere:
s(t) = s2 + v2∙ (t – t2) + ½ ∙ a ∙ (t – t2)2
Ecco fatto: questa è la formula del caso più generale, quando consideriamo un punto che ha percorso lo spazio s2 ed ha una velocità v2 dopo un tempo t2.
Spero che siate stanchi, ma soddisfatti. Mi avete seguito sino a capire i due mattoni fondamentali dell’analisi matematica: le derivate e gli integrali!!! Capirete anche che c’è tanto ancora da dire: però, per i nostri scopi di capire la fisica dei fenomeni e le leggi che le governano, ci fermiamo qui. Ritornando alla fisica, riscriviamo il secondo principio della dinamica:
F = m ∙ a; da cui:
a = F / m; e quindi:
F / m = d2s/dt2 Ecco perché Newton ha dovuto creare l’analisi: per rispondere, appunto, alla domanda: come si passa dall’accelerazione alla velocità raggiunta ed allo spazio percorso?